本研究主要是考察热塑性水溶性聚合物用于热熔挤出技术(HME),在提高难溶性药物溶解性的同时简化缓释微粒的生产,而这一缓释微粒可达到8个小时所载药物的释放。
实验方法
将各种比例的羟丙甲纤维素Benecel™(K750,K4M,K15M)和共聚维酮Plasdone™ S-630与难溶性药物硝苯地平(载药量20%,25%和50%)混合。混合物通过Leistritz ZSE 18HP双螺杆挤出机挤出,挤出温度约为140℃,挤出物使用Bay Plastic Machinery BT25制粒机切制微粒。微粒粉碎,加入辅料,压片,片重 375mg(载药量20%)或300mg(载药量25%)。检测微粒及制得片剂的性质。
结果与讨论
DSC测定结果

图1 载药量对药物形态的影响
在Benecel™ K4M HPMC和共聚维酮Plasdone™ S-630比例维持在1:1不变的情况下,在20%载药量时,DSC显示无重结晶峰,表明挤出物维持在无定形态。故挤出无定态药物的进一步开发所选择的载药量为20%。
溶出度测定结果

图2 HPMC与共聚维酮比例的影响
纯共聚维酮Plasdone™ S-630不能有效延迟药物释放,共聚维酮Plasdone™ S-630 和HPMC Benecel™ K750的混合物显示了4小时的缓释效果。溶出度达到60mg,过饱和度为4。由于HPMC和共聚维酮比例为1:1时溶出曲线较理想 ,故选择该比例进行进一步研究。![]()

图3 HPMC分子量的影响
Benecel™ HPMC的分子量越高对药物的缓释作用越大,也能维持药物在溶液中更高的过饱和度。众所周知,HPMC 是一种有效的在溶液中的结晶抑制剂,此处显示高分子量HPMC的抑制结晶作用更强。

图4 最终剂型的影响
挤出微粒粉碎后压片。片剂的释放速度远低于挤出微粒,也未达到与微粒相同的释放量。片剂的DSC数据显示在粉碎和压制过程中药物部分重结晶。
稳定性结果

图5 40℃/75%RH条件下一个月稳定性考察的DSC图
加速条件下1个月后未发现有重结晶峰。

图6 40℃/75%RH条件下一个月稳定性考察的TGA图
在200℃下,重量损失从一个月前的98.5%略降低至97.9%。

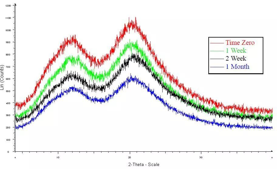
图7 40℃/75%RH条件下一个月稳定性考察的XRD结果
加速条件下一个月后无明显的重结晶峰,表明处方稳定 。

图8 40℃/75%RH条件下一个月稳定性考察的药物释放(FaSSIF介质)
加速条件下一个月后,释放曲线无明显改变,相似因子 f2大于50 。
结果与讨论
1. 在热熔挤出中联合使用共聚维酮Plasone™ S-630 和羟丙甲纤维素Benecel™ K15M,可以在提高硝苯地平溶解性的同时维持过饱和,并延迟药物释放达到8小时。
2. 共聚维酮/硝苯地平的挤出微粒溶出度提高显著,但是随后很快重结晶。
3.一定范围内,提高羟丙甲纤维素的分子量对延迟药物释放和维持药物溶液过饱和态均有正面效果。
4. 片剂的药物释放比相应挤出微粒低约50%,压片过程中可能出现重结晶。
来源:亚什兰医药技术服务
Copyright © 2025 深圳市优普惠药品股份有限公司 版权所有 互联网药品信息服务资格证书:(粤)-非经营性-2023-0304